中科院数学与系统科学研究院
数学研究所
学术报告会
报告人:Prof. A. Sankaranarayanan(Tata Institute, India)
题 目:On the Fourier coefficients of cusp forms over sparse sequences
时 间:09.03(星期三), 10:00--11:00
地 点:数学院南楼N226室
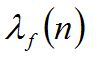
摘要:The results are jointworks with my Chinese colleague Prof. Huixue Lao. Let
be the nth normalized Fourier coefficient of a holomorphic Hecke eigenform
where
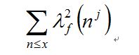
. In this talk we investigate the sum

where nj are certain subsequences of the sequences of natural numbers N.